
科普丨真空应用
在现代工业和科研领域,直线电机因其高效率、高精度和快速响应的特性而被广泛应用。然而,在真空环境中,直线电机面临着特殊的挑战。本文将深入探讨Akribis系列真空直线电机——AWM,分析其技术特点和应用优势。
真空应用应该考虑的因素
1. 真空绝缘
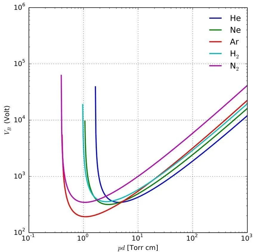
在真空中,传统的绝缘材料、绝缘结构可能不再有效。帕邢定律(Paschen's law)指出,真空下的击穿电压*爬电距离与真空度相关。这意味着在不同的真空度下,电机的绝缘设计需要不同的考虑。

不同介质氛围的帕邢曲线
(图片来源:https://www.zhihu.com/question/612111577)
2. 真空释气
在真空环境中材料的释气(Outgassing)现象尤为突出。释气不仅会影响真空环境的稳定性,还可能对光学器件产生负面影响,比如:真空下碳原子沉积会降低镜面的反射率。释气的构成包括水蒸气、有机气体、空气成分(N2、CO2)等,需要通过特殊工艺进行控制。

释气的分类
图片来源:https://vaccoat.com/blog/what-is-outgassing-in-vacuum-chamber/
产品丨AWM系列真空直线电机
电机结构特征
结构设计与材料:AWM系列电机采用极低释气的胶水、环氧树脂、线缆,结合封闭的结构设计、光洁的表面处理,确保在真空环境下的稳定性和可靠性。
真空工艺:采用先进的真空封装和处理技术,以减少电机内部的气体残留量。
如何评判真空电机性能
真空绝缘测试方法:通过真空环境下的绝缘耐压、绝缘电阻、匝间耐压来评估电机的绝缘性能,确保在真空中安全运行。
真空释气测试方法:通过静态升压法(ISO/TS 20177:2018)、热真空释气(标准:ASTM E595)分析技术来评估材料的释气水平,保证真空环境的纯净度。

AWM 系列电机技术水平
真空绝缘
AWM系列电机在设计时充分考虑了真空环境下的绝缘需求,采用了高效的绝缘材料和结构,确保了电机在高真空度下的安全运行。
真空释气
AWM系列电机严格控制材料的释气水平,通过特殊的表面处理和材料选择,减少了在真空环境中的气体释放。
可定制项
· 真空绝缘兼容性:根据客户的具体需求,AWM系列电机可以定制不同的绝缘级别,以适应不同的真空环境。
· 真空释气兼容水平:电机的释气水平可以根据应用场景进行定制,以满足特定的真空要求。
· 主动冷却:雅科贝思可以提供主动冷却系统,以进一步提高其在真空环境中的性能。
结语丨总结与展望
AWM系列电机凭借卓越的真空绝缘性能和低释气水平,成为真空应用领域的理想选择。其出色的定制能力和先进技术确保在各种真空环境下提供稳定、可靠的动力输出。伴随着科技的持续进步,AWM系列电机将继续推动直线电机在真空应用中的技术创新。